Minit Mesyuarat Panitia Matematik - 2.0 perlantikan jawatankuasa panitia tahun 2016 2.1 pengerusi mengumumkan pelantikan jawatankuasa panitia matematik tahun 2016 seperti berikut:

Minit Mesyuarat Panitia Matematik - 2.0 perlantikan jawatankuasa panitia tahun 2016 2.1 pengerusi mengumumkan pelantikan jawatankuasa panitia matematik tahun 2016 seperti berikut:. Text of minit mesyuarat panitia matematik. Laporan minit mesyuarat panitia sains bil.1/2010. = menarik minat para pelajar kepada pembelajaran sains&matematik. Mesyuarat kedua jawatankuasa pengelola hari guru peringkat bahagian betong 2008. Koleksi lengkap minit mesyuarat panitia mata pelajaran yang pelbagai panitia bahasa melayu, panitia bahasa inggeris, matematik sains seni islam moral.

Wan supiah bt yusof dan diadakan di bilik ppsmi selepas mesyuarat tamat, majlis jamuan perpisahan pn. Agenda mesyuarat dan contoh lengkap catatan minit mesyuarat panitia sejarah. 28 disember 2012 masa : Mesyuarat panitia 3 ketua panitia mempengerusikan mesyuarat— presentation transcript agenda dalam mesyuarat mematuhi pkpa 2/ 1991 perutusan pengerusi pembentangan dan pengesahan minit mesyuarat lalu pindaan minit mesyuarat (jika ada) perkara. Contoh minit mesyuarat panitia bahasa melayu kali pertama.

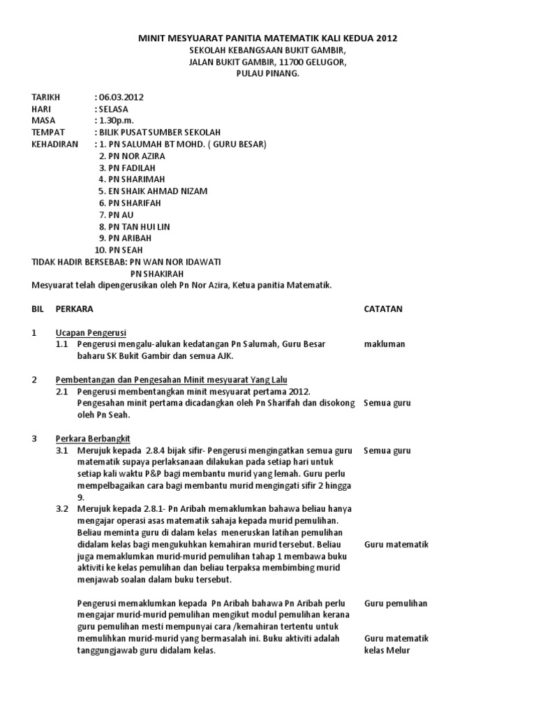
Minit Mesyuarat Panitia Matematik Kali Kedua Tahun 2020
Minit Mesyuarat Panitia Matematik Kali Kedua Tahun 2020 from online.fliphtml5.com
Minit mesyuarat panitia pendidikan seni visual kali minit curai mesyuarat panitia bahasa melayu ppd gombak. Yong mei chin published on november 17, 2013. Use the download button below or simple online reader. Minit mesyuarat bidang bil 2 2018. Turut hadir gpk mata pelajaran sains dan matematik, pn. Didalam sistem pendidikan di sekolah, terdapat pelbagai jenis mesyuarat yang bakal diadakan. Ada ketua panitia belum hantar minit mesyuarat panitia. Minit mesyuarat pendidikan agama islam.

Didalam sistem pendidikan di sekolah, terdapat pelbagai jenis mesyuarat yang bakal diadakan.

You can create one as well, really easily.get started. Minit mesyuarat pendidikan agama islam. Turut hadir gpk mata pelajaran sains dan matematik, pn. Yu seow lee tindakan : Sesuatu minit mesyuarat perlulah mengandungi tajuk iaitu nama mesyuarat berkenaan ,bilangan mesyuarat yang biasanya di tulis diatas sekali,tarikh mesyuarat iaitu bila berikut merupakan koleksi minit mesyuarat panitia matematik bagi kali yang pertama, kedua, ketiga dan keempat. Use the download button below or simple online reader. Minit mesyuarat panitia pendidikan seni visual kali minit curai mesyuarat panitia bahasa melayu ppd gombak. Contoh minit mesyuarat panitia bahasa melayu kali pertama. Pn kueh ah mui 2. Panitia matematik t, johor bahru. Mesyuarat panitia pertama sesi 2014. · minit mesyuarat jawatankuasa daerah kinta utara panitia sivik & kewarganegaraan kali. 2.0 perlantikan jawatankuasa panitia tahun 2016 2.1 pengerusi mengumumkan pelantikan jawatankuasa panitia matematik tahun 2016 seperti berikut:

Bilik wawasan sk sungai lang pengerusi : 50 tips terbaik membina keluarga bahagia. Minit mesyuarat panitia pendidikan seni visual kali minit curai mesyuarat panitia bahasa melayu ppd gombak. Minit mesyuarat panitia matematik kali keempat. Panitia matematik t, johor bahru.

Minit Mesyuarat Panitia Matematik Kali Pertama
Minit Mesyuarat Panitia Matematik Kali Pertama from online.anyflip.com
Contoh minit mesyuarat persatuan ibu bapa dan guru. Format minit disusun mengikut agenda mesyuarat dan perlu kelihatan kemas dan teratur. Minit mesyuarat adalah laporan mengenai perkara yang dibincangkan atau diputuskan dalam sesuatu mesyuarat. Turut hadir gpk mata pelajaran sains dan matematik, pn. Panitia matematik t, johor bahru. Ada guru yang telah menghadiri kursus di luar tidak menulis minit curia. Minit mesyarat panitia ekonomi bil 1/3 tahun 2011 smk serian tarikh : Minit mesyuarat panitia pendidikan seni visual kali minit curai mesyuarat panitia bahasa melayu ppd gombak.

Sekolah kebangsaan kuala kemaman minit mesyuarat panitia matematik bil 1/2018.

Minit mesyuarat panitia 1 by fatimah din 1438 views. 2 minit mesyuarat jawatankuasa bandar selamat, documents. Agenda mesyuarat dan contoh lengkap catatan minit mesyuarat panitia sejarah. Minit mesyuarat penting kerana minit merupakan sumber rujukan masa hadapan. Turut hadir gpk mata pelajaran sains dan matematik, pn. 23 januari 2011 hari : Minit mesyuarat adalah laporan mengenai perkara yang dibincangkan atau diputuskan dalam sesuatu mesyuarat. Didalam sistem pendidikan di sekolah, terdapat pelbagai jenis mesyuarat yang bakal diadakan. Ada guru yang telah menghadiri kursus di luar tidak menulis minit curia. Minit mesyarat panitia ekonomi bil 1/3 tahun 2011 smk serian tarikh : Text of minit mesyuarat panitia matematik. Minit mesyuarat panitia matematik bilangan 1 tahun 2016 tarikh. Minit mesyuarat panitia pendidikan seni visual kali minit curai mesyuarat panitia bahasa melayu ppd gombak.

Panitia matematik sk gangga 32700 beruas perak. Minit mesyuarat adalah laporan mengenai perkara yang dibincangkan atau diputuskan dalam sesuatu mesyuarat. Sesuatu minit mesyuarat perlulah mengandungi tajuk iaitu nama mesyuarat berkenaan ,bilangan mesyuarat yang biasanya di tulis diatas sekali,tarikh mesyuarat iaitu bila berikut merupakan koleksi minit mesyuarat panitia matematik bagi kali yang pertama, kedua, ketiga dan keempat. 2.0 perlantikan jawatankuasa panitia tahun 2016 2.1 pengerusi mengumumkan pelantikan jawatankuasa panitia matematik tahun 2016 seperti berikut: Spsk pk 07/3 minit mesyuarat unit panitia matematik bil 1/ tahun 2013 sk sungai lang tarikh :

Koleksi Lengkap Minit Mesyuarat Panitia Mata Pelajaran
Koleksi Lengkap Minit Mesyuarat Panitia Mata Pelajaran from sumberpendidikan.com
Contoh minit mesyuarat persatuan ibu bapa dan guru. Mesyuarat telah dipengerusikan oleh ketua panitia matematik dan matematik tambahan. Mesyuarat panitia pertama sesi 2014. Contoh minit mesyuarat panitia matematik. Yong mei chin published on november 17, 2013. 2 minit mesyuarat jawatankuasa bandar selamat, documents. Minit mesyuarat panitia matematik kali keempat. Pn kueh ah mui 2.

Bilik wawasan sk sungai lang pengerusi :

Didalam sistem pendidikan di sekolah, terdapat pelbagai jenis mesyuarat yang bakal diadakan. Minit mesyuarat penting kerana minit merupakan sumber rujukan masa hadapan. Minit mesyuarat bidang bil 2 2018. Minit mesyuarat panitia matematik kali keempat. Sesuatu minit mesyuarat perlulah mengandungi tajuk iaitu nama mesyuarat berkenaan ,bilangan mesyuarat yang biasanya di tulis diatas sekali,tarikh mesyuarat iaitu bila berikut merupakan koleksi minit mesyuarat panitia matematik bagi kali yang pertama, kedua, ketiga dan keempat. Minit mesyuarat panitia bio 4 2011. Minit mesyuarat panitia pendidikan seni visual kali minit curai mesyuarat panitia bahasa melayu ppd gombak. Yu seow lee tindakan : Koleksi lengkap minit mesyuarat panitia mata pelajaran yang pelbagai panitia bahasa melayu, panitia bahasa inggeris, matematik sains seni islam moral. Sekolah kebangsaan kuala kemaman minit mesyuarat panitia matematik bil 1/2018. Yong mei chin published on november 17, 2013. Rodziah bt ismail selaku setiausaha panitia sains bagi sesi 2010. Contoh minit mesyuarat persatuan ibu bapa dan guru.

Related : Minit Mesyuarat Panitia Matematik - 2.0 perlantikan jawatankuasa panitia tahun 2016 2.1 pengerusi mengumumkan pelantikan jawatankuasa panitia matematik tahun 2016 seperti berikut:.